Просмотры:0 Автор:Pедактор сайта Время публикации: 2021-10-16 Происхождение:Работает
Хотя разрядники на основе оксидов металлов являются сравнительно современными устройствами, они, тем не менее, претерпели быстрое развитие. Например, такие разрядники одними из первых в энергосистемах стали оснащаться полимерной изоляцией.Также был достигнут прогресс в улучшении характеристик резисторов MO, что сделало разрядники одними из самых надежных компонентов системы.
В этом отредактированном вкладе в INMR профессора Фолькера Хинрихсена, вышедшего на пенсию из Технического университета Дармштадта в Германии, были рассмотрены оставшиеся проблемы в разработке технологии беззазорных МО-разрядников, включая улучшенные возможности обработки энергии, а также внешние системы выравнивания для смягчения неравномерного распределения электрического поля. .
Металлооксидные разрядники без зазоров являются побочным продуктом «случайного» изобретения резисторов ZnO в 1968 году компанией Matsushita Electric Industrial в Японии.Последующее развитие устройств защиты от перенапряжения для электроэнергетических систем привело к появлению первого такого приложения к 1975 году.
Рис. 1: Первая в мире установка ОПН на подстанции Хаято электростанции Кюсю (тип сильного загрязнения Meidensha 66 кВ).
Начиная с середины 1980-х годов для разрядников распределительного класса и к началу 1990-х годов для разрядников класса высоковольтных станций, разрядники типа МО стали одними из первых типов электроаппаратов, оснащенных полимерной изоляцией.Вскоре это стало современным для распространения и теперь также все чаще применяется в системах передачи.
Кроме того, в отличие от разрядников из карбида кремния с зазором, которые она заменила, технология MO также позволила применять ее на подстанциях не только для традиционной защиты от перенапряжения.Эти новые области применения включают в себя многоколонные разрядники станций сверхвысокого напряжения для систем напряжением выше 1000 кВ, разрядники постоянного тока высокого напряжения в преобразовательных станциях (наиболее важными являются разрядники защиты клапанов), разрядники распределительных и передающих линий (с последовательным зазором или без него) и блоки разрядников в гибком исполнении. Системы передачи переменного тока для защиты от перенапряжения последовательных конденсаторов в случае неисправности линии.В последних разработках разрядники MO применяются в качестве незаменимых поглотителей энергии в новых автоматических выключателях постоянного тока высокого напряжения.
Способность работать с энергией и потенциальная электрическая деградация MO резисторов были одной из проблем с самого начала.Из-за постоянного подключения к линии, беззазорный МО разрядник теоретически может страдать от теплового разгона при избыточном подводе энергии или из-за ухудшения его нелинейной вольт-амперной характеристики.К счастью, для опытных производителей разрядников электрическая деградация больше не рассматривается как риск.Кроме того, мы надеемся, что строгие требования к испытаниям в текущих стандартах позволят избежать каких-либо отставаний от уже достигнутого высокого уровня.
Тем не менее, сегодняшние менее традиционные приложения требуют других подходов при определении и проверке способности управления энергией, чем только рассмотрение линейного разряда, как это было ранее в случае разрядников станционного класса.Благодаря работе в Cigré стандарты испытаний теперь улучшены, чтобы охватить все аспекты применения современных разрядников, хотя многое еще предстоит сделать.В то же время стандарты испытаний разрядников IEC и IEEE в настоящее время гармонизированы, что в конечном итоге привело к проекту стандарта с двойным логотипом для всех типов линейных разрядников, подготовленному совместной рабочей группой IEC и IEEE (проект IEC/IEEE 60099-11). ).
Одним из самых интересных достижений в наши дни является то, что инструменты моделирования стали очень мощными.Это позволило оптимизировать конструкции разрядников СВН и СВН в отношении внешней системы градации и предела термической стабильности с использованием нелинейного, полностью связанного электротермического моделирования.Это, в свою очередь, открыло двери для разработки разрядников сверхвысокого напряжения с меньшей потребностью в полномасштабных лабораторных испытаниях, что затруднительно при таких уровнях напряжения.Тенденция избегать полномасштабных испытаний также поддерживается «умными» подходами в стандартах в отношении испытаний на диэлектрическую стойкость.Например, на основании достаточного экспериментального опыта можно избежать необходимости в таких испытаниях, если выполняются определенные минимальные требования к зазорам.Таким образом, разрядники сверхвысокого напряжения могут разрабатываться и аттестоваться без использования полноразмерных испытательных стендов на 1000 кВ.
Ограничители перенапряжения ограничивают перенапряжения, вызванные переходными разрядами молнии или коммутационными явлениями.В то же время они должны избегать отключения линии.В этой последней роли им не нужно ограничивать напряжение до нуля, а скорее до уровня, который может безопасно выдерживать оборудование в системе.Это означает, что разрядники должны иметь возможность рассеивать мощность при протекании тока на землю и, следовательно, поглощать энергию.Поэтому для ОПН должна быть указана некоторая способность работать с энергией.Исторически это делалось по-разному для станционных и распределительных разрядников.
Самая сложная обязанность для класс станции разрядники считался линейным разрядом.Линия электропередачи, внезапно отключившаяся от системы и (в зависимости от фактической нагрузки и момента времени обесточивания) заряженная до перенапряжения в несколько о.е. напряжения сети (1 о.е. = Uс∙…2/…3), разряжается через подключенный разрядник.Поэтому разрядник должен поглощать энергию, накопленную в емкостях линии (линий).Таким образом, поглощаемая энергия зависит от начального перенапряжения, длины линии и уровня защиты разрядника по току переключения, который определяет степень разрядки линии.
В исключительном случае этого конкретного сценария имеет смысл указать мощность линейного разряда, а не энергию, которая в случае разрядников из карбида кремния с зазором распределялась между дугами в последовательных промежутках, а также резисторами.Фактически, до 2014 года стандарты IEC для разрядников определяли энергоемкость разрядников подстанционного класса именно таким образом, т. е. по классам разряда линии от LD 1 до LD 5. Однако класс разряда линии не помогает планировщику системы в таких приложениях, как конденсаторная батарея. защиты ни, вообще, когда нет разрядки линии.Он также неприменим к появляющимся системам сверхвысокого напряжения, которые требуют обработки энергии (в основном из-за низкого уровня защиты разрядников и, следовательно, их участия во временных перенапряжениях), которая намного превышает любой указанный до сих пор класс линейного разряда.
Напротив, основная цель разрядники класса распределения заключается в отводе заряда, например, при попадании в линию прямого удара молнии в землю.В таком случае становится разумным указывать способность к переносу заряда, а не способность к обработке энергии.Конечно, энергия также рассеивается во время переноса заряда.Но ОПН с более низким уровнем защиты должны поглощать меньше энергии при заданном количестве заряда, чем ОПН с более высоким (и, следовательно, худшим) уровнем защиты.Следовательно, способность к переносу заряда лучше определяет требуемые характеристики разрядника.
Независимо от этих соображений, энергоемкость распределительных разрядников была связана со способностью выдерживать сильноточный импульсный ток 4/10 мкс до 100 кА два раза при типовых испытаниях, что имеет мало общего с какими-либо реалистичными напряжение, возникающее в энергосистеме.Поскольку заданные допуски по времени и амплитуде сильноточного импульса очень велики, влияние заряда и энергии на разрядник в этом сценарии точно не определено.
Наконец, необходимо провести четкое различие между:
1. термальный возможность обработки энергии, направленная на предотвращение теплового разгона разрядника;
2. одиночный импульс возможность обработки энергии, которую разрядник может выдержать при одном отдельном случае перенапряжения без механического повреждения его МО резисторов;и
3. повторный одиночный импульс энергоемкость, аналогичный аспекту пункта 2, но многократно в течение срока службы ОПН.Производители попытались скрыть этот аспект за счет «длительных токовых импульсов».Но поскольку никакая соответствующая процедура испытаний не была указана ни в одном стандарте, производитель принял решение о том, как указать условия испытаний, которые стали выполняться разными способами.
Вышеизложенное было обоснованием и мотивацией для изменения философии испытаний в стандартах разрядников МЭК, что после продолжительного обсуждения привело к принятию настоящих стандартов.Основа была заложена рабочей группой Cigré A3.17, а затем WG A3.25, которые подготовили две технические брошюры, посвященные вопросам управления энергией.На рис. 2 показан основной вывод, когда речь идет об однократной мощности, в данном случае для резисторов MO, типичных для использования в разрядниках станционного класса.
Рис. 2: Средняя энергия отказа в зависимости от амплитуды плотности тока для MO резисторов «Размер 1» разных производителей: S, T, U, V, X и Z выделены оранжевым цветом.
Важные выводы из этого исследования с участием тысяч образцов МО резисторов, поставленных различными производителями по всему миру, заключаются в следующем:
• Средние значения энергии отказа при одиночном импульсе варьируются примерно от 400 Дж/см³ до 1200 Дж/см³ для очень быстрых импульсов и даже до 1700 Дж/см³.Это намного превышает типичную расчетную энергию в 200 Дж/см³.
• Способность работать с энергией увеличивается с амплитудой плотности тока в основном так же, как сообщалось ранее.Однако средняя энергия отказа увеличивается на 70 % (в среднем не менее чем на 20 %) по сравнению с некоторыми прошлыми исследованиями.Это впечатляющая демонстрация развития МО резисторов с точки зрения лучшей однородности материала.Тем не менее, широкий разброс между производителями в 1,7 раза должен мотивировать производителей продолжать работу по оптимизации своей продукции.
• Ключевым наблюдением является то, что некоторые MO-резисторы обычно демонстрируют ожидаемое увеличение энергоемкости при экстремальных значениях плотности тока.Но также существуют модели, демонстрирующие снижение энергии разрушения до значения всего 500 Дж/см³.Причина в другом доминирующем механизме разрушения, т.е. диэлектрическом разрушении покрытия, приводящем к перекрытию.До сих пор испытание на «повторяющуюся оценку переноса заряда» с импульсами 90/200 мкс было самым сложным испытанием на энергопотребление для MO-резисторов, используемых в линейных разрядниках.Хотя эти результаты кажутся многообещающими и приводят к вопросу, почему расчетная энергия указана такой низкой, последующие испытания на выносливость поставили их на более высокий уровень:
Для повторный инжекция энергии, инжектируемая энергия различается для разных плотностей тока.Чем выше плотность тока импульсов, тем меньшую энергию можно инжектировать без предварительного повреждения МО резистора.Уровень энергии, с которым можно работать без предварительного повреждения МО резисторов повторными инъекциями энергии в случае нагрузок переменного тока, близок к уровню возможности обработки одиночного импульса и, следовательно, сравнительно высок.Напротив, для импульсов тока большой длительности, например, виртуальное время 2 мс, это близко к типичной расчетной энергии для стандартных применений ОПН, а именно в диапазоне 200 Дж/см³.
Эти исследования показали, что одноимпульсный Энергоемкость ОПН на удивление высока — во много раз выше, чем обычно указанная номинальная энергоемкость.Однако, если возникает одноимпульсный стресс на таких высоких уровнях неоднократнодопустимы только гораздо более низкие значения, чтобы не повредить разрядник.В целом разрядник имеет довольно хорошие шансы «выжить» при нескольких подводах энергии, намного превышающих его номинальную энергию, если это не влияет на предел термической стабильности.Это может быть причиной того, что ОПН так хорошо зарекомендовали себя, учитывая, что чрезмерный ввод энергии является редким явлением в стандартных условиях системы.Однако, если это происходит чаще, допустимая подаваемая энергия обязательно должна быть ограничена номинальной энергией.
В случае часто повторяющихся высокоэнергетических импульсы тока большой длительности, область тока утечки вольт-амперной характеристики изменяется незначительно.Это означает, что такое напряжение не оказывает отрицательного влияния на предел термической устойчивости ОПН.Разрядники станционного класса на подстанциях выигрывают от этого, поскольку очень крутые и короткие импульсы высокой энергии в этих местах встречаются редко.Но сильноточные импульсы повлияет на характеристику тока утечки в различной степени, в зависимости от марки MO резистора (см. рис. 3).
Следовательно, это проблема для распределительных устройств или линейных разрядников без зазоров.Однако, поскольку такая нагрузка обычно возникает во всех испытаниях на термическую стабильность во время типовых испытаний, разрядники доказали термическую стабильность даже под воздействием ухудшенной характеристики тока утечки.Это означает, что этот эффект в достаточной степени покрывается типовыми испытаниями и, таким образом, не представляет дополнительного риска во время эксплуатации.
Рис. 3: Изменение характеристического напряжения в зависимости от подачи энергии импульсными токами длительностью 4/10 мкс;характеристическое напряжение примерно
соответствует эталонному напряжению и, таким образом, является индикатором изменений в области тока утечки.
Технология HVDC для передачи электроэнергии на большие расстояния применяется уже более 60 лет и быстро развивается в направлении более высоких уровней напряжения (± 800 кВ в эксплуатации; ± 1000 кВ в разработке).Поскольку преобразователи напряжения (VSC) в модульной многоуровневой технологии (MMC) становятся современными, ячеистые накладные сетки HVDC также становятся реалистичным вариантом.Для ячеистой сети требуются автоматические выключатели, и было сделано много предложений по их реализации.Поскольку постоянный ток не имеет естественных переходов через нуль, а механическим выключателям действительно нужен нулевой ток для прерывания тока, переход через нуль должен обеспечиваться внешней схемой.Но это не решает проблему, заключающуюся в том, что из-за протекающего тока в индуктивностях системы накапливается магнитная энергия, которую необходимо поглощать, чтобы избежать экстремальных перенапряжений.Таким образом, каждый автоматический выключатель постоянного тока, независимо от его общей концепции управления, нуждается в параллельном гасителе энергии.Естественно, это МО разрядник, обычно скомпонованный в виде группы разрядников с множеством параллельных столбцов МО резисторов.Рис. 4 изображает базовую схему принципа работы, т. е. вакуумного прерывателя с предварительно заряженной RLC-цепью, подключенной параллельно триггеру (искровым разрядником SG) и накладывающей высокочастотные колебания на ток системы через прерыватель, которым принудительно применяются искусственные текущие нули.
Рис. 4: Слева: Принцип коммутации постоянного тока высокого напряжения, механический переключатель (вакуумный прерыватель VI) в основном тракте, срабатывающий (искровым разрядником SG) активный RLC-контур коммутации с предварительно заряженным C. Справа: Типичный ток через МО разрядник во время прерывание тока короткого замыкания.
Как видно, ток через разрядник при отключении постоянного тока имеет характерную форму: резкое возрастание до нескольких килоампер и длительный спад в течение порядка 10 миллисекунд.В дальнейшем разрядник может находиться под постоянным постоянным напряжением до тех пор, пока выключатель не будет отключен последовательным разъединителем (на рис. 4 не показан).Это относительно новый сценарий нагрузки для разрядников на основе МО, который требует исследования способности выдерживать энергию и электрической деградации.К сожалению, об этом пока мало что опубликовано.Разрядник должен выдерживать более 10 000 импульсов, поэтому типичным подходом должно быть испытание на выносливость с формой импульса тока, как можно более близкой к реальному приложению, со скрытым напряжением постоянного напряжения в качестве наихудшего случая и с более чем 10 000 энергетические инъекции.
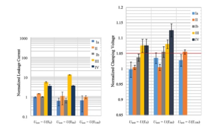
Во всех этих исследованиях сообщалось об эффектах деградации с точки зрения снижения допустимой энергии на импульс при повторном применении импульса, увеличения постоянного тока утечки и увеличения напряжения фиксации в разной степени в зависимости от производителя.Например, различные имеющиеся в продаже модели от разных производителей (диаметр » 50 мм, высота (2,5…7 мм) были исследованы и показали очень разное поведение при старении. Яркий пример показан на рис. 5.
Рис. 5: Изменения после >10 000 импульсов для МО резисторов типов I, II, III и IV, испытанных при различных постоянных напряжениях в прямом направлении и для различных энергий импульса (Ib и II с 60 Дж/см³ и Ia, III и IV с (90…100) Дж/см³).Все значения нормализованы к начальным условиям.Слева: ток утечки.Справа: напряжение фиксации.
Как видно на рис. 5 слева, несмотря на то, что некоторые марки почти не затронуты, может произойти увеличение тока утечки примерно в 10 раз, в зависимости от марки.Это важно, но не является серьезной проблемой, пока разрядник не подключен постоянно к напряжению системы.Но напряжение фиксации также может быть увеличено более чем на 12% (см. рис. 5 справа), чем нельзя пренебрегать, и это может привести к непригодности данной конкретной марки для предполагаемого применения.
Стандарты разрядников в целом допускают максимальное увеличение остаточного напряжения на 5% после любого энергетического стресса.Кроме того, на основании этих исследований делается вывод о том, что из-за исключительно однополярного напряжения следует использовать материал, устойчивый к постоянному току (например, сертифицированный по процедуре испытаний на ускоренное старение согласно IEC 60099-9:2014, пункт 9.11), даже если не приложено постоянное постоянное напряжение. .Наконец, на рынке явно есть производители, которые могут без ограничений использоваться в выключателях постоянного тока высокого напряжения.
В другом исследовании был протестирован только один конкретный производитель (диаметр » 70 мм, высота » 6,35 мм).Одиннадцать образцов подвергались воздействию до 15 000 инъекций энергии.В конце было проведено испытание энергии разрушения (т.е. подача сильного переменного тока для пробоя) и проведено сравнение с известной средней энергией разрушения новых образцов.На рис. 6 показан один примечательный результат по электрической деградации.
Рис. 6: Изменения интерфейс-характеристическое (слева) и фиксирующее напряжение (справа) после 5000, 10000 и 15000 подводов энергии.
Это исследование также показало, что ток утечки, а также фиксирующее напряжение будут увеличиваться в этом стрессовом сценарии, что выражается в вращении против часовой стрелки. интерфейс-характеристика на рис. 6 слева.В этом примере 5-процентный критерий максимально допустимого увеличения остаточного напряжения удовлетворялся для большинства образцов, за небольшими исключениями (см. рис. 6 справа).В окончательных испытаниях энергии разрушения энергия разрушения предварительно напряженных образцов оказалась неизменной или даже увеличенной.
Один из уроков этой работы заключается в том, что применение сегодняшних коммерчески доступных МО разрядников в качестве поглотителей энергии в выключателях постоянного тока высокого напряжения, безусловно, возможно.Материал должен быть стабилен при постоянном токе, даже если системное напряжение не приложено постоянно.Образцы, которые не являются стабильными при постоянном токе, как правило, не выдерживают испытания на выносливость.Следует иметь в виду, что ток утечки, а также напряжение фиксации будут увеличиваться в течение всего срока службы разрядника, но, очевидно, останутся в допустимых пределах в зависимости от производителя.Однако в будущем следует обсудить, может ли в этом случае применяться 5-процентный критерий в стандартах на разрядники, предполагающий только умеренное напряжение (например, 20 вводов номинальной энергии), когда учитывается более 10 000 энергетических напряжений.В этих условиях, возможно, можно или нужно допустить более значительные изменения.Тем не менее, эти исследования показывают, что концепция поглотителей энергии, состоящих из МО резисторов, будет работать.Потребуются дальнейшие исследования, чтобы лучше обобщить эти выводы, которые были основаны только на ограниченном количестве марок и образцов.
Одним из преимуществ технологии беззазорных МО разрядников является то, что многие столбцы МО резисторов могут быть соединены параллельно, и, если тщательно продумать распределение тока, они могут равномерно распределять энергетическую нагрузку.Распределение тока не является проблемой в области номинального разрядного тока (например, 10 кА), где показатель степени нелинейности обычно составляет < 5. Снижение остаточного напряжения любого столбца МО резисторов на 1 % при параллельном соединении означает увеличение тока в этом столбце на 5%.Это обычная практика для систем сверхвысокого напряжения (800 кВ) и сверхвысокого напряжения (> 800 кВ), где несколько столбцов обычно подключаются параллельно.Однако в области токов переключения интерфейс характеристике, например 100…500 А, показатель нелинейности выше, т. е. порядка а = 25. Увеличение тока из-за снижения остаточного напряжения на 1 % составит тогда 28 %.Это усложняет производство огромных блоков разрядников, иногда со 100 столбцами резисторов, включенных параллельно, и это решение может работать не во всех случаях.
Одним из типичных применений является защита от перенапряжения последовательных конденсаторов, когда в случае неисправности линии через конденсатор будет протекать полный ток короткого замыкания.Это привело бы к линейному увеличению падения напряжения на конденсаторе, если бы ток не коммутировался на разрядник, подключенный параллельно.Поглотители энергии для новых автоматических выключателей HVDC также могут быть такого же масштаба.
В конце концов, отдельный столбец резисторов в банке может быть перегружен и должен быть выведен из эксплуатации.В таких случаях рекомендуется установка «горячих» запасных колонок.Они подвергаются точно такому же электрическому напряжению, как и все соседние колонны.Если они израсходованы, рекомендуется не смешивать старые и новые колонки, что означает замену всего блока ОПН.
Учитывая, что это неудовлетворительно с экономической точки зрения, были проведены исследования, чтобы определить, можно ли смешивать старые (т.е. устаревшие) и заводские новые столбцы MO резисторов.Поскольку при таком исследовании рассматриваются изменения остаточного напряжения << 1 %, измерение напряжения при его типичной погрешности 3 % становится бессмысленным.Таким образом, все измерения в данной работе оценивались по их изменению в диапазоне коммутационного импульсного тока относительно эталонного столба, включенного параллельно.Образцы для испытаний представляли собой колонны из 12 резисторов МО диаметром 100 мм, соединенных последовательно.На рис. 7 показан основной результат.
Рис. 7: Изменение импульсного тока разных образцов при приложении разных нагрузок.Слева: цикл прикладной нагрузки.Справа: результаты испытаний.
В левой части рис. 7 показан цикл испытаний, состоящий из 13 дней с приложенным напряжением промышленной частоты. U = Uc, один день без подачи напряжения, подача полной номинальной энергии путем подачи высокого переменного тока, 13 дней с U = Uc приложенным, один день без подачи напряжения и, наконец, 8 дней с U = Uc применяется.Результат показан справа на рис. 7. Таким образом, применение напряжения промышленной частоты приводит к уменьшению коммутационного импульсного тока (10…15) % по сравнению с эталонным столбцом (соответствует увеличению остаточного напряжения на 0,5 %). в предположении а = 25).Но один-два дня без подачи напряжения приводят к почти полному восстановлению до начальной стадии.
Вывод состоит в том, что отдельные столбцы, которые обычно согласовываются на заводе с эталонным столбцом, могут быть добавлены в группу разрядников всего через два дня после отключения питания без отрицательного влияния на распределение тока.Этот вывод свидетельствует о том, что замена полных блоков разрядников не требуется.Вместо этого отдельные столбцы могут быть установлены в любое время, пока в наличии имеются MO-резисторы того же производителя, а исходный эталонный столбец хранится на заводе.Конечно, этот результат ограничен конкретной маркой исследованных МО резисторов, хотя использовались разные производственные партии.В идеале его следует проверить и для других марок МО резисторов.Кроме того, учитывая, что это исследование также представляет интерес для поглотителей энергии в автоматических выключателях постоянного тока высокого напряжения, аналогичные исследования следует проводить в типичных условиях напряжения постоянного тока.
Из-за влияния паразитных емкостей на землю существует неравномерное распределение потенциала вдоль разрядников переменного тока высотой более 2 м, что означает, что верхние блоки подвергаются более высокому напряжению, чем нижние блоки.Это приводит к более высоким потерям мощности и, следовательно, к более высоким температурам.Стресс напряжения на верхних блоках частично снижается благодаря эффекту самовыравнивания, который становится эффективным, когда МО резисторы работают ближе к области пробоя их резисторов. интерфейс-характеристика (называемая выше опорного напряжения в стандартах разрядников), тем самым становясь более проводящими.Но цена – это выработка тепла из-за повышенных потерь мощности.
Чтобы ограничить такое повышение температуры до приемлемых значений, обычно применяются внешние выравнивающие кольца (а в некоторых случаях и внутренние выравнивающие конденсаторы) для компенсации влияния паразитных емкостей на землю.Повышенное рабочее напряжение верхних резисторов MO уже учтено в стандартах испытаний разрядников, например, в спецификацииИспытание для проверки долговременной стабильности при постоянном рабочем напряжении» (в просторечии: «испытание на ускоренное старение»).') в пункте 8.4 (IEC 60099-4:2014, 2014). Кроме того, Приложение F IEC 60099-4:2014 содержит 'Руководство по определению распределения напряжения на металлооксидных разрядниках'. Однако по ряду причин это лишь частично покрывает подобные проблемы.
Прежде всего, только Напряжение в настоящее время рассматривается увеличение.Но поскольку на работу ОПН в конечном счете также влияет повышенное температуры, их выравнивание или уменьшение должно быть целью любых усилий по оптимизации.Во-вторых, Руководство по определению распределения напряжения адресовано нелинейным электрический эффект, но не результат тепловой последствия.Он также предоставляет скудную информацию о том, как смоделировать реальную неосесимметричную трехмерную конфигурацию ОПН с помощью эквивалентной двухмерной конфигурации, которую можно смоделировать с меньшими затратами.Более того, несмотря на то, что рекомендуется применять виртуальные градуировочные кольца, подробная информация об их размерах и расположении не приводится.Наконец, влияние неравномерного распределения температуры вдоль оси разрядника на его предел термической стабильности в принципе неизвестно.
Сообществу специалистов по разрядникам уже давно приходится сталкиваться с этими проблемами, но они все же накопили опыт определения размеров внешних систем градации разрядников сверхвысокого напряжения до уровня напряжения системы 800 кВ.Но сейчас появляются разрядники сверхвысокого напряжения, в которых размеры внешних выравнивающих колец должны быть уменьшены по сравнению с оптимальным случаем, чтобы иметь возможность диэлектрически выдерживать собственный уровень защиты импульса переключения разрядника.В связи с этим возникает ряд вопросов: в какой степени можно принять температурный дисбаланс, вызванный неоптимальной градацией?Каковы максимально допустимые температуры на верхних разрядниках?Как на предел термической стабильности влияет повышенная температура?
К сожалению, на эти вопросы никогда и до сих пор не могут быть даны ответы с помощью полномасштабных лабораторных испытаний, поскольку подача номинальной энергии импульса в полномасштабные разрядники сверхвысокого и сверхвысокого напряжения невозможна.Таким образом, испытания на термическую стабильность в настоящее время проводятся на небольших термически эквивалентных пропорциональных сечениях, и предполагается, что они дают консервативные результаты, т. е. допускают ошибку в сторону безопасности.Но даже экспериментальная проверка этого предположения невозможна.
Теперь пришло время более широко использовать подходы к моделированию.Сегодняшние коммерчески доступные программные средства моделирования FEM предлагают решение нелинейных, полностью электротермических связанных задач.Но работа еще предстоит.Например, 3D-структуры должны быть преобразованы в 2D, чтобы разумно сократить объем вычислений.Кроме того, сложные механизмы теплопередачи, т. е. излучение, конвекция и теплопроводность, должны быть упрощены до эквивалентных чисел теплопередачи.Правильное экспериментальное определение и теоретическое моделирование нелинейных электрических характеристик МО резисторов (зависимая от электрического поля и температуры проводимость и диэлектрическая проницаемость) является сложной задачей.Даже незначительные детали лабораторной среды нельзя упускать из виду при моделировании, если необходимо достичь хорошего соответствия результатов моделирования и эксперимента.
Два недавно опубликованных совместных доктора философии.тезисы, указанные в разделе «Ссылки» в конце, касались этого сложного вопроса, и ниже приводится краткое изложение результатов:
Предел термической стабильности разрядника сверхвысокого или сверхвысокого напряжения можно экспериментально оценить путем медленного ввода энергии при приложенном напряжении промышленной частоты примерно на 30 % выше постоянного рабочего напряжения разрядника.Это занимает время – до 30 минут – и не дает точного предела стабильности, поскольку теплоемкости всех компонентов пассивного разрядника (фланцы, внутренние металлические прокладки, корпус и т. д.) также термически «заряжаются» за это время.Но как только модель была создана, которая дает результаты моделирования, которые согласуются с экспериментальными результатами в случае переменный ток нагрева, пределы реальной термической устойчивости при воздействии импульс инжекция энергии, может быть определена только с помощью моделирования, как это было бы в реальных условиях эксплуатации.На рис. 8 показано такое сравнение для типичного разрядника на 550 кВ (h = 4,2 м, Uв = 300 кВ, Uр = 375 кВ, U10 кА = 960 кВ).
Рис. 8: Температуры для 5 различных конфигураций ОПН 550 кВ: неградуированные (ung) и 4 различных размеров градуировочных колец, возрастающие от: «StR1» = «маленький» до «StR4» = «большой» ( оптимально)'
Слева: средние установившиеся температуры (зеленые столбцы) и средние температуры в пределах термической стабильности (желтые столбцы) после нагрев напряжением промышленной частоты;левые столбцы: измерение, правые столбцы: моделирование.Справа: средние установившиеся температуры (зеленые столбцы) и средние температуры на пределах термической стабильности (желтые столбцы) после нагрев импульсами;только имитация;Цифры, выделенные курсивом, указывают на максимальную установившуюся температуру в верхней части ОПН.
Из рис. 8 можно сделать вывод, что:
• результаты измерения и моделирования для случая обогрева переменным током полностью совпадают (слева: сравнение двух столбцов для каждой конфигурации).Это демонстрирует мощь современных подходов к моделированию;
• разброс в осевом распределении температуры широкий в неградуированном случае (внеш.: в среднем = 54°C, макс. = 131°C) и чрезвычайно узок в оптимально-градуированном случае ('StR4': в среднем = 21°C, макс. = 28°C);
• пределы термостойкости по средним температурам, усредненным по всей высоте разрядника, практически незатронутый по конфигурации оценивания.Это означает, что неградуированный ОПН имеет тот же предел термической стабильности по средней температуре, что и оптимально градуированный разрядник, независимо от чрезмерно высоких температур в верхних блоках, что также было опубликовано в (Hinrichsen, Giesssel, & Tuczek, Thermal Stability of разрядники высокого и сверхвысокого напряжения с системами пониженной градации, 2015 г.);
• пределы термостойкости при подводе импульсной энергии на (25…33)°С выше, чем при подводе энергии переменного тока (сравните левую и правую части рис. 1).Это демонстрирует недостаток чисто экспериментальных подходов, которые являются чрезмерно консервативными, хотя бы с точки зрения безопасности.
Из-за более высоких средних установившихся температур разрядник может потреблять меньше энергии, если применяются менее эффективные меры градации.Однако разница в способности выдерживать тепловую энергию между абсолютно неклассифицированным и оптимальным разрядником составляет всего 17%, как показано моделированием (см. рис. 9).
Один из уроков этих исследований с использованием современных подходов к моделированию заключается в том, что стремление к оптимальной градации потенциала разрядников СВН и СВН не так важно, как предполагалось.Любой осевой температурный дисбаланс вдоль оси ОПН мало влияет на предел термостойкости.Скорее важна только средняя температура по оси разрядника.В то время как снижение номинальной тепловой энергии из-за неравномерного распределения температуры, безусловно, следует учитывать, нет реального риска того, что разрядники сверхвысокого напряжения с недостаточным классом будут менее надежными или подвергнутся тепловому разгону из-за слишком высоких температур в их верхней части.Кроме того, следует подвергнуть сомнению использование внутренних выравнивающих конденсаторов, поскольку они представляют собой дополнительные активные элементы, которые могут подвергаться электрическому старению.Они могут помочь увеличить способность обработки тепловой энергии, но не являются необходимыми для термостабильности.Наконец, эти исследования также предполагают, что экспериментальные подходы к стандартам разрядников для проверки термической стабильности дают результаты с «безопасной» стороны.
Рис. 9: Способность выдерживать тепловую энергию (результаты моделирования) ОПН 550 кВ для 5 различных конфигураций ОПН: неградуированные (ung) и 4 различных размера градуировочных колец, возрастающие от: StR1 = малое до StR4 = «большое (оптимальное)». '.
Это обнадеживает, но может привести к излишне большим запасам прочности.Например, фактические пределы термической стабильности, как правило, недооцениваются по процедурам типовых испытаний.В то же время трудно оспорить такие устоявшиеся подходы, которые предположительно способствовали отличной истории службы разрядников.
Два дополнительных примера преимуществ современных подходов к моделированию показаны ниже: первый относится к автоматизированным процедурам оптимизации, как показано для оптимизации сортировочного кольца;другой - эффективное прогнозирование пределов термической стабильности после создания электротермической модели разрядника.
Рис. 10: Слева: глобальный оптимум для выбора размеров кольца разрядника 550 кВ.Посередине: результирующая конфигурация кольца выравнивания в 2D-модели и в реальном 3D-устройстве.Справа: достигнуто равномерное стационарное распределение температуры (синий цвет) по сравнению с исходной конфигурацией кольца (красный цвет).
Было показано, что виртуальный выравнивающий электрод, предложенный в IEC 60099-4:2014 для двумерного моделирования ОПН, можно улучшить, приняв конусообразный экран, а не предлагаемый кольцевой электрод, и что его размеры и положение могут быть автоматически оптимизированы с помощью специальных разработал алгоритмы для идеального моделирования реальной трехмерной конфигурации ОПН.Кроме того, была разработана автоматизированная процедура для оптимизации градуирующего кольца разрядника в отношении осевого распределения электрического поля, потери мощности и температуры, которые становятся максимально однородными.Для выбранного примера разрядника на 550 кВ можно найти глобальный оптимум (минимум нормированной целевой функции на рис. 10), в данном случае при высоте установки кольца 4,4 м от земли и диаметре кольца 1,2 м, см. рис. 10, слева.Как видно из рис. 3, в середине, такое кольцо может быть нереально большим, и, как объяснялось выше, особенно эта оптимизация может быть не самой важной, но пример демонстрирует высокий потенциал автоматизированной оптимизации ОПН с помощью подходов к моделированию. в общем.Результат впечатляет, поскольку в результате получается чрезвычайно однородное стационарное распределение температуры вдоль оси разрядника, см. рис. 10 справа.
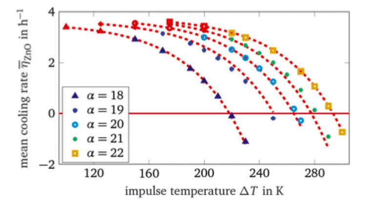
Как указывалось выше, предел термической стабильности разрядника нелегко оценить, даже если применять подходы к моделированию, потому что каждое изменение конструктивного параметра требует нескольких прогонов моделирования, чтобы определить максимальное количество подаваемой энергии, при котором произойдет тепловой разгон. не происходит.В (Späck-Leigsnering, Электротермическое моделирование, моделирование и оптимизация ОПН) представлена процедура, которая позволяет всего за два коротких прогона моделирования прогнозировать предел термической стабильности конфигурации ОПН, для которой общая электротермическая модель была установлена и впоследствии должна быть оптимизирована путем изменения, например, системы оценивания или интерфейс-характеристика используемых МО резисторов.Для этого вводится скорость охлаждения, усредненная по высоте разрядника.Пока он имеет положительные значения (> 0) после подачи энергии, достигается термостабильность.Найден предел термической устойчивости для количества подводимой энергии (или повышения температуры соответственно), приводящего к скорости охлаждения ≤ 0.
На рис. 11 показан пример, в котором показатель нелинейности α области коммутационного импульсного тока интерфейс-характеристика варьировалась в диапазоне от 18 до 22. Как видно, значение α оказывает сильное влияние на предел термической стабильности, который находится в диапазоне температурного шага (за счет подвода энергии) от от 220 К до 300 К. Важно отметить, что каждая из пунктирных кривых экстраполированный на основе только двух симуляций, которые отмечены красными маркерами в начале кривых.Маркеры, окрашенные не в красный цвет, обозначают полное моделирование, каждое из которых было выполнено только для того, чтобы сравнить прогноз с фактическим результатом полного моделирования.Достигнуто отличное соответствие между экстраполированными кривыми и фактически рассчитанными точками.Это свидетельствует об эффективности подхода.Для каждого изменения параметра необходимо выполнить только два моделирования.
Рис. 11: Смоделированные средние скорости охлаждения для различных значений показателя нелинейности α;пунктирные кривые экстраполированы на основе только двух симуляций каждая, обозначенных красными маркерами в начале кривых.
Основная идея этой главы заключается в том, что будущие разработки разрядников могут, должны и будут все больше и больше основываться на подходах к моделированию.Современные инструменты моделирования позволяют моделировать нелинейные, полностью связанные электротермические задачи.Поскольку, с другой стороны, возведение и эксплуатация высоковольтных испытательных залов становится все более сложной задачей при стремлении к уровням напряжения сверхвысокого напряжения фактически до 1200 кВ и, возможно, даже более высоким значениям в будущем, этот вариант следует все чаще применять и особенно развивать. развитый.Тем не менее, необходимо разработать некоторые специальные алгоритмы помимо коммерчески доступных стандартных программных средств, но это, безусловно, выгодное вложение.
Прогресс в дальнейшей разработке международных стандартов разрядников был хорошим.Например, в 2014 году в стандарты МЭК была введена концепция спецификации и испытаний по обработке энергии.Впоследствии все остальные стандарты МЭК на разрядники были переработаны, чтобы соответствовать этим новым подходам, включая МЭК 60099-8:2017, 60099-5:2018, 60099-6:2019.Самый последний стандарт был опубликован в 2019 году. Еще одно требование в отношении новых стандартов, а именно предоставление требований и процедур испытаний для разрядников сверхвысокого напряжения, было включено в IEC 60099-4:2014.Таким образом, стандартизация МЭК может помочь производителям и пользователям как в существующих, так и в новых применениях разрядников.Датой стабильности стандарта IEC 60099-4:2014 является 2020 год. В следующем издании, помимо исправления редакционных ошибок, обсуждаются улучшения в таких сложных элементах, как испытания на короткое замыкание в целом или требования к испытаниям разъемных и глухих разрядников. IEC TC37 MT4, основанный на отзывах производителей, пользователей и испытательных лабораторий.
Аналогичная ситуация и со стандартами разрядников IEEE.Окончательная публикация очередной редакции основного стандарта IEEE C62.11-2012 состоялась в конце прошлого года.Кроме того, были предприняты большие усилия для согласования стандартов разрядников IEC и IEEE.Соответствующие рабочие группы проводили совместные встречи не реже одного раза в год, и ожидается, что наиболее важные требования к тестированию будут унифицированы в ближайшие несколько лет.
Был выбран еще более последовательный подход к будущей стандартизации линейных разрядников, важность которых во всем мире возрастает.Сегодня на эти разрядники распространяются международные стандарты IEC 60099-4:2014 и 60099-8:2017, а также IEEE C62.11-2012.Планируется разработать новый стандарт с двойным логотипом IEC/IEEE, применимый ко всем типам линейных разрядников без каких-либо исключений (распределительные, станционные, без зазоров или с внешним зазором, приложения переменного и постоянного тока) (IEC TC37, PT60099-11).Это сложная задача, поскольку, например, практически отсутствует опыт работы с приложениями постоянного тока, а подходы японских стандартов частично отличаются от подходов стандартов IEC или IEEE.Однако линейные разрядники были «изобретены» в Японии, и Япония имеет самый большой опыт эксплуатации линейных разрядников.Это, безусловно, должно быть признано и отражено в этом будущем стандарте.
Другим довольно сложным проектом ответственной рабочей группы IEC является разработка «Обоснования испытаний», подход, принятый соответствующей рабочей группой IEEE (IEEE SPDC WG 3.3.11).Идея состоит в том, чтобы вспомнить и опубликовать мотивацию и обоснование существующих требований и спецификаций к испытаниям (что во многих случаях оказалось очень сложным даже для опытных специалистов по ОПН) и написать обоснование испытаний для всех новых требований и процедур испытаний в будущем. .На самом деле, предполагается опубликовать «Обоснование испытаний» в качестве технического отчета IEC (TR) в рамках серии стандартов 60099.
Бесщелевые ОПН являются относительно молодыми устройствами в электроэнергетических системах, выпущенными на рынок в 1975 году и стандартизированными примерно с 1990 года. До сих пор они претерпели впечатляющие разработки и в настоящее время являются одними из самых надежных устройств в энергосистемах.Исключения существуют, но они, как правило, связаны с особыми и иногда недооцененными условиями системы, недостаточными размерами, часто из-за отсутствия опыта, или просто с проблемами качества, при этом на первый план выходят недостатки механического уплотнения.Новые применения разрядников стали возможными только благодаря этой инновационной технологии разрядников, таких как разрядники сверхвысокого напряжения, разрядники высокого напряжения постоянного тока, линейные разрядники с последовательным разрядником и без него, огромные группы разрядников в FACTS и, как последняя разработка, в качестве поглотителей энергии в автоматических выключателях постоянного тока высокого напряжения.Но для этих применений требуются подходы к определению и проверке способности выдерживать энергию, отличные от линейных разрядов, как это было в начале стандартизации разрядников.Благодаря работе Cigré, стандарты испытаний постоянно совершенствуются, чтобы охватить все аспекты современных применений ОПН, хотя в этом направлении еще предстоит поработать.Скорее всего, больше, чем для любого другого оборудования, стандарты испытаний IEC и IEEE гармонизируются.Как одно из самых захватывающих достижений в инженерии, инструменты моделирования стали настолько мощными, что в настоящее время стало возможным оптимизировать конструкции разрядников сверхвысокого и сверхвысокого напряжения в отношении их внешних систем градации и их пределов термической стабильности с помощью нелинейного полностью связанного электротермического моделирования.
Этот вклад был сосредоточен на аспектах обращения с энергией и электрического старения, где необходимо было извлечь несколько уроков, и соответствующие фактические выводы нашли свое отражение в стандартах разрядников.В нем также учитывались современные возможности моделирования рабочего поведения ОПН с помощью нелинейных, полностью связанных инструментов электротермического моделирования.Это открыло двери для проектирования разрядников сверхвысокого напряжения со значительно сниженной потребностью в полноразмерных испытаниях в лаборатории.Ожидается и рекомендуется более широкое использование этих подходов.Например, многие аспекты работы разрядников сверхвысокого напряжения чрезвычайно трудно оценить экспериментально просто по той причине, что необходимые большие высоковольтные испытательные залы отсутствуют в достаточном количестве.
Еще одним перспективным применением ОПН станет их использование в качестве незаменимых поглотителей энергии в автоматических выключателях постоянного тока высокого напряжения.В этом вкладе было показано, что это приложение в принципе возможно.Но необходимы дальнейшие исследования различных марок МО резисторов, чтобы дать общие положения и рекомендации по ним и окончательно ввести их в стандарты разрядников.Поглотители энергии обычно представляют собой блоки разрядников, часто состоящие из большого количества параллельных МО-колонн.Такие конфигурации также можно найти в системах передачи переменного тока сверхвысокого или сверхвысокого напряжения на большие расстояния, для которых FACTS становится все более важным.Блоки разрядников также потребуются для защиты кабельных систем высокого напряжения постоянного тока на большие расстояния, что фактически обсуждается, например, в Германии.Таким образом, правильное определение размеров больших блоков разрядников станет стандартной задачей проектирования, а не исключением, как это может быть сегодня.Так как в таких батареях разрядников энергетически нагружены тысячи МО резисторов, риск выхода из строя отдельных МО резисторов, а следовательно, и столбцов, увеличивается по сравнению со стандартными ОПН подстанций.Это требует, с одной стороны, все более высокого качества МО резисторов с точки зрения однородности материала и воспроизводимости, энергоемкости и электрической деградации, а с другой стороны, экономически обоснованных стратегий замены отдельных МО столбцов, а не замены полных блоков ОПН после замены запасных. используются колонки.Этот вопрос также был рассмотрен в этом вкладе.
Осведомленность о растущем использовании линейных разрядников во всем мире послужила причиной разработки стандарта IEC/IEEE с двойным логотипом для всех типов линейных разрядников, который находится на хорошем пути и может быть опубликован через пару лет.
Подводя итог, можно сказать, что ОПН на сегодняшний день являются зрелыми устройствами с отличным послужным списком.Основные проблемы были решены за последние годы, и лишь некоторые вопросы открыты для дальнейшей работы.Поддержание очень высокого технического и качественного уровня разрядников для защиты от перенапряжения должно стать серьезной задачей.Это относится к производителям, органам по стандартизации, а также к пользователям, которым не следует недооценивать опыт, необходимый для правильного применения ОПН.
Подтверждение
Профессор Хинрихсен выражает благодарность Максу Рейнхарду, Максимилиану Тучеку, Томасу Хайнцу, Морицу Гисселю, Майке Брокер, Ивонн Шпак-Лейгснеринг и Петеру Хоку, которые сделали возможным усвоить уроки, как сообщается здесь, их доктором философии.проекты, выполненные в Техническом университете Дармштадта.
Эта статья является копией из INMR (https://www.inmr.com), не для коммерческого использования, а только для технического обучения и общения.
В электротехнике разъединитель, разъединитель или разъединитель используются для обеспечения полного обесточивания электрической цепи для обслуживания или ремонта.Они используются только для разрыва цепи и часто встречаются в распределительных сетях и подстанциях, где для регулировки или ремонта необходимо отключить источник питания машин.Разъединители могут быть с ручным или моторным приводом и могут быть соединены с заземлителем для заземления части, которая была изолирована от системы, для обеспечения безопасности оборудования и работающего на нем персонала. Высоковольтные разъединители используются на электрических подстанциях для позволяют изолировать аппаратуру, такую как автоматические выключатели, трансформаторы и линии передачи, для обслуживания.Разъединитель обычно не предназначен для нормального управления цепью, а только для защитного отключения.В отличие от выключателей нагрузки и автоматических выключателей, в разъединителях отсутствует механизм гашения электрической дуги, возникающей при электрическом разрыве проводников, по которым текут большие токи.Таким образом, это устройства без нагрузки с очень низкой отключающей способностью, предназначенные для размыкания только после того, как ток был прерван каким-либо другим устройством управления.
Воздушный выключатель представляет собой трехфазный разъединитель с воздушным разрывом, для горизонтальной и вертикальной установки на вершине столба, обычно также называемый выключателем нагрузки, он используется для включения и выключения в распределительной линии 11 кВ-33 кВ. и с возможностью отключения небольшого намагничивания. трансформаторные токи и малые токи на воздушных линиях. подходит для всех типов сетей, особенно требующих частого маневрирования в суровых климатических условиях,нравится солевая влажность, песок, снег, большая высота, промышленное загрязнение, зона с высокой плотностью загрязнения и т. д.в.
Изоляторы широко используются в воздушных линиях электропередач для обеспечения механической поддержки и электрической защиты, а также в распределительных линиях и подстанциях.Силиконовая резина является наиболее широко используемым полимерным изоляционным материалом для изоляторов высокого напряжения. Композитный изолятор марки HAIVO изготовлен из силиконовой резины. В зависимости от напряжения в энергосистемах используются различные виды изоляторов, у нас есть штыревой изолятор, изолятор деформации, подвесной изолятор. Изолятор столба, изолятор длинного стержня, изолятор горизонтального столба, изолятор железной дороги, изолятор скобы, изолятор пребывания.
Изоляторы широко используются в воздушных линиях электропередач для обеспечения механической поддержки и электрической защиты, а также в распределительных линиях и подстанциях.Силиконовая резина является наиболее широко используемым полимерным изоляционным материалом для изоляторов высокого напряжения. Композитный изолятор марки HAIVO изготовлен из силиконовой резины. В зависимости от напряжения в энергосистемах используются различные виды изоляторов, у нас есть штыревой изолятор, изолятор деформации, подвесной изолятор. Изолятор столба, изолятор длинного стержня, изолятор горизонтального столба, изолятор железной дороги, изолятор скобы, изолятор пребывания.
Комплексный технический анализ ограничителей перенапряжения линий электропередачи
Техническая информация: выявление и устранение загрязнений, перекрытий и старения предохранителей
Эволюция интеллектуальных сетей: будущее технологий предохранителей и инновационных разработок
Будущее защиты от перенапряжений: технические инновации и новые тенденции в области молниеотводов
Механизмы старения и стратегии предотвращения выпадающих предохранителей
Электронное письмо:jonsonchai@chinahaivo.com
WeChat: +86 13587716869
WhatsApp: +86 13587716869
Тел: 0086-577-62836929.
0086-577-62836926.
0086-13587716869.
0086-15957720101.
Если у вас есть какие-либо вопросы, вы можете связаться с нами через форму.