Просмотры:0 Автор:Pедактор сайта Время публикации: 2021-09-25 Происхождение:Работает
Значительные усилия были направлены на планирование ячеистых многотерминальных сетей HVDC. Одним из важнейших компонентов таких сетей является автоматический выключатель, который должен быть способен устранять неисправности постоянного тока без обесточивания стороны постоянного тока сети.Автоматический выключатель должен соответствовать особым требованиям к отключению постоянного тока, включая чрезвычайно быстрое срабатывание, создание искусственного нуля (нулей) тока, создание противодействующего напряжения, превышающего напряжение системы, и большое поглощение энергии.В то время как в этом приложении обычно используются металлооксидные разрядники (MOSA), типы нагрузок, с которыми приходится сталкиваться, сильно отличаются от тех, которые применяются в сетях переменного тока.
В этом отредактированном вкладе в INMR, сделанном тогдашним кандидатом наук Питером Хоком и профессором Фолькером Хинрихсеном из Технического университета Дармштадта в Германии в сотрудничестве с Надевом Белдой и Рене Смитсом из Kema Labs в Нидерландах, были рассмотрены специальные требования к MOSA, когда они подходит для применения в автоматический выключатель HVDC.
Послушайте онлайн-лекцию Питера Хока и Надью А. Белды по исследованию металлооксидных разрядников для автоматических выключателей постоянного тока высокого напряжения.
В отличие от переменного тока, прерывание постоянного тока особенно сложно из-за:
• Ток короткого замыкания постоянного тока не имеет естественного перехода тока через нуль, и поэтому автоматический выключатель постоянного тока должен создать его для прерывания тока;
• В дополнение к созданию искусственного нулевого тока автоматический выключатель постоянного тока должен генерировать и поддерживать встречное напряжение, известное как переходное напряжение отключения (TIV), выше, чем рабочее напряжение системы во время прерывания тока;
• Отсутствие переходов тока через ноль означает, что в системе постоянного тока всегда сохраняется магнитная энергия, пока течет ток.При создании и поддержании противодействующего напряжения автоматический выключатель постоянного тока должен поглощать энергию системы.
Одной из особенностей способности автоматического выключателя HVDC к прерыванию тока является поглощение магнитной энергии, хранящейся в индуктивностях системы.Фактически, все технологии автоматических выключателей постоянного тока включают в себя специальный компонент, предназначенный для этой цели, который представляет собой специальную группу разрядников для защиты от перенапряжения на основе оксида металла (MOSA).Эта группа состоит из блоков резисторов из оксида металла (также известных как варисторы из оксида металла или MOV), которые расположены в несколько столбцов для поглощения большой энергии системы, но без значительного износа или возможного разрушения.MOSA выполняет две основные функции в автоматическом выключателе постоянного тока высокого напряжения: первая заключается в ограничении TIV, создаваемого им в процессе отключения тока;второй - поглощать энергию, запасенную в индуктивности системы.Таким образом, MOSA должен поддерживать TIV на уровне выше напряжения источника, но ниже напряжения, которое могут выдержать размыкающие контакты до тех пор, пока энергия в системе не будет поглощена или ток не будет подавлен.В то время как MOSA используются во всех типах энергосистем, в таблице 1 показаны различия между их использованием для защиты от перенапряжения в приложениях переменного и постоянного тока по сравнению с выключателями HVDC.
Таблица 1: Сравнение MOSA, используемых для защиты от перенапряжения, с автоматическим выключателем постоянного тока высокого напряжения.
Ток утечки не оказывает существенного влияния на применение выключателя постоянного тока высокого напряжения, поскольку MOSA обычно изолирован от системы как в замкнутом, так и в разомкнутом состоянии.Когда автоматический выключатель HVDC находится во включенном состоянии, MOSA замыкается накоротко по пути нормального тока.В разомкнутом состоянии автоматический выключатель дифференциального тока, включенный последовательно, изолирует автоматический выключатель HVDC от системы.Конструкция автоматического выключателя HVDC может повлиять на нагрузки, испытываемые MOSA.
Как правило, выключатели HVDC реализуются с использованием модульного подхода.Соединение MOSA может осуществляться через всю компоновку модулей или через каждый модуль, в зависимости от предпочтений дизайнера.В последнем случае, если по какой-либо причине один модуль не может коммутировать ток в свой MOSA, в то время как остальные модули работают нормально, MOSA на оставшихся модулях должен быть в состоянии обрабатывать всю энергию.Кроме того, в некоторых конструкциях гибридных автоматических выключателей HVDC MOSA размещаются параллельно нескольким IGBT основного выключателя, обеспечивая последовательное соединение большого количества MOSA в целом.Если несколько IGBT не могут коммутировать ток в MOSA, в то время как остальные IGBT работают нормально, MOSA на функционирующих IGBT должны быть в состоянии справиться со всей энергией.Более того, эти две описанные выше ситуации приводят к длительной токопроводимости MOSA, поскольку TIV уменьшается, когда некоторые MOSA не проводят ток.
Были предложены различные методы прерывания тока HVDC.Две технологии, а именно гибридный выключатель HVDC и выключатель HVDC с активной инжекцией тока, считаются наиболее многообещающими кандидатами со своими соответствующими плюсами и минусами.Гибридная технология выключателя постоянного тока HVDC использует небольшой выключатель силовой электроники в сочетании с быстродействующим механическим разъединителем (разъединителями) на основном пути тока и большим набором элементов силовой электроники, служащих в качестве главного выключателя, подключенных параллельно основному пути тока.В выключателе постоянного тока с активной подачей тока используются механические прерыватели на основном пути тока и схема инжекции противотока, состоящая из резонансного контура RLC, подключенного параллельно основному пути тока, с предварительно заряженным конденсатором или без него в зависимости от прерывателя. технологии (газовый или вакуумный прерыватель).В обоих случаях MOSA подключается параллельно к ответвлению RLC при активном вводе и к главному выключателю в гибридных автоматических выключателях HVDC.Основы переключения HVDC с технологией активной подачи тока демонстрируются на примере механического переключателя в качестве основного переключающего элемента в выключателе.Для этой цели в этом проекте использовались имеющиеся в продаже вакуумные прерыватели.На рис. 1 показан параллельный путь коммутации для создания искусственного нулевого тока и пути поглощения энергии, необходимые для этой концепции.Коммутационный тракт выполнен в виде последовательного резонансного контура RLC.конденсатор, CC коммутационного тракта должен быть предварительно заряжен от внешнего источника.Полярность предварительно заряженного конденсатора выбирается таким образом, чтобы ток, равный нулю основного тока, обеспечивался в течение первого полупериода разрядного тока конденсатора.Это способствует быстрому и надежному отключению тока.Путь поглощения энергии защищает конденсатор, CC от перезарядки и обычно состоит из MOSA.
Рис. 1: Принцип переключения постоянного тока высокого напряжения, механический
переключатель в основном пути, активный путь коммутации.
Во включенном состоянии контакты вакуумного прерывателя замкнуты, и основной постоянный ток протекает с незначительными потерями во включенном состоянии.В начале процесса переключения контакты начинают размыкаться, что приводит к возгоранию дуги.Как только зазор между контактами становится достаточно большим, коммутационный путь в этом примере активируется путем срабатывания искрового разрядника (SG).Но возможен также быстродействующий механический переключатель или полупроводниковый переключающий элемент, и тогда на постоянный ток сети накладывается высокочастотный синусоидальный колебательный ток.Из-за выбранной полярности основной ток принудительно обнуляется в течение первого полупериода колебаний.При надлежащих условиях дуга в вакуумной дуге гасится и ток в основном пути прерывается.Затем ток коммутирует в параллельный путь коммутации, заряжает конденсатор CC, и на вакуумном прерывателе появляется напряжение.Как только напряжение конденсатора, uCC, превышает уровень защиты MOSA в энергопоглощающем тракте, MOSA становится высокопроводящим и ограничивает напряжение.Теперь ток переключается на путь поглощения энергии, что приводит к поглощению энергии системой, и ток, наконец, подавляется до нуля.
MOSA является важным компонентом для ограничения пикового значения TIV и для поглощения магнитной энергии индуктивности системы.Для автоматических выключателей постоянного тока высокого напряжения необходимо несколько параллельных столбцов варисторных блоков для поглощения большого количества энергии.При определенных требованиях к энергии необходимое количество варисторных блоков будет зависеть от энергии на единицу объема, которая может быть введена в варистор для безопасной работы.Эти варисторы необходимо расположить в несколько столбцов параллельно с учетом остаточного напряжения столбцов.Самые большие варисторные блоки с наибольшей способностью обработки энергии, которые могут быть изготовлены, являются предпочтительными, чтобы ограничить количество столбцов.При разработке MOSA для автоматического выключателя постоянного тока высокого напряжения необходимо указать следующие параметры автоматического выключателя и системы:
Переходное напряжение прерывания (TIV)
Соответствует остаточному напряжению MOSA при номинальном токе отключения.Это определяется высотой активной части (колонка варистора).Для подавления тока короткого замыкания это напряжение должно быть выше номинального напряжения системы, на которое рассчитан выключатель.До сих пор коэффициент от 1,5 до 2,0 считается достаточным в отношении координации изоляции системы и времени прерывания тока.
Текущий
Это определяется максимальной отключающей способностью автоматического выключателя HVDC, в котором установлен MOSA.Ведь напряженность электрического поля (т.е. напряжение на единицу высоты) на варисторах определяется плотностью тока.При увеличении площади поперечного сечения активной части уменьшается напряженность электрического поля и, следовательно, общее остаточное напряжение.Поэтому важно учитывать влияние увеличения количества столбцов варисторов на конечное остаточное напряжение, равное TIV.
Слушайте другие онлайн-лекции об ОПН
Номинальная энергия
Это максимальная энергия, которую MOSA может поглотить без механической/электрической деградации.Объем активной части определяет максимальную способность поглощения энергии.Хотя в литературе упоминается, что MOSA могут поглощать энергию до 400 Дж/см3, номинальное значение энергии 200 Дж/см3 в течение одного периода поглощения считается безопасным для длительного использования.MOSA может надежно работать в диапазоне температур 100…300°C.При энергии 3,3 Дж/см3 температура MOSA увеличивается примерно на 1°C, исходя из удельной теплоемкости.Таким образом, инжекция энергии 200 Дж/см3 приводит к повышению температуры примерно на 60°С.На рис. 2 показан экспериментальный автоматический выключатель постоянного тока, настроенный для исследования способности MOSA поглощать энергию в ходе лабораторных испытаний, питаемых генераторами короткого замыкания переменного тока, работающими на низкой частоте сети.
Рис. 2: Электрическая схема экспериментальной испытательной установки выключателя постоянного тока.
Экспериментальный автоматический выключатель постоянного тока основан на принципе прерывания постоянного тока с инжекцией активного тока.Он состоит из вакуумного прерывателя на основном пути тока и заряженного конденсатора и катушки индуктивности параллельно основному пути тока.Этот экспериментальный автоматический выключатель постоянного тока с инжекцией активного тока с одним разрывом имеет следующие характеристики:
• Номинальный ток отключения 16 кА
• Максимальный ток отключения 20 кА
• Номинальная энергия 2 МДж
• ТИВ (40…45) кВ
На основе этой информации на рис. 3 показана конструкция модуля MOSA с 12 столбцами, состоящего из 72 MOV.Если требуется поглощение энергии более 2 МДж, два или более таких модуля могут быть подключены параллельно для разделения энергии.Как уже говорилось, ток и напряжение связаны друг с другом через напряженность электрического поля и плотность тока.Чем выше плотность тока, тем выше будет напряженность электрического поля.Поэтому это необходимо учитывать при проектировании многоколонной МОПС, так как при любом заданном номинальном токе, чем больше число столбцов, тем меньше будет плотность тока и, следовательно, остаточное напряжение.В зависимости от потребности в поглощении энергии может потребоваться несколько десятков MOV-колонок.На рис. 4 показано влияние количества столбцов на остаточное напряжение при токе разряда 10 кА.Как видно, один столбец имеет самое высокое остаточное напряжение, тогда как 12-столбцовый MOSA имеет примерно на 17% меньшее остаточное напряжение.Таким образом, необходимо предусмотреть правильную регулировку высоты активной части, если используется большое количество колонн, чтобы учесть такое снижение остаточного напряжения.
Рис. 3: Модуль MOSA, предназначенный для TIV 40 кВ и обработки энергии 2 МДж.
Рис. 4: Остаточное напряжение при разрядном токе 10 кА в зависимости от количества столбцов MOV.
Нагрузки на MOSA во время прерывания постоянного тока короткого замыкания
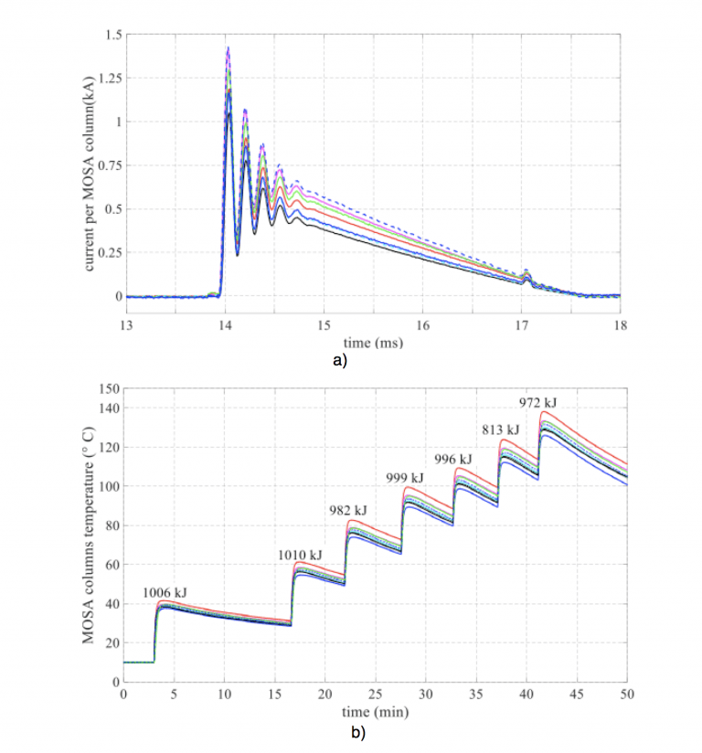
На рис. 5 показан типичный результат испытания прерывания тока автоматическим выключателем постоянного тока высокого напряжения.Два модуля MOSA, соединенные последовательно, использовались для удвоения номинального напряжения, поскольку два вакуумных прерывателя также были соединены последовательно.Представлены электрические напряжения, а именно ток и напряжение, 12-столбцового MOSA, а черная кривая на диаграмме вверху показывает ток через MOSA.Наблюдаемые переходные выбросы были обусловлены взаимодействием заряженного конденсатора прерывателя и паразитной индуктивности в цепи МОПА.
Из нижней диаграммы на рис. 5 видно, что MOSA поддерживает TIV около 77 кВ во время подавления тока в системе.В отличие от обычного применения переменного тока, где MOSA проводят импульсные токи в течение короткого времени (менее миллисекунды), можно увидеть, что MOSA в автоматическом выключателе HVDC проводит ток в течение примерно 9,5 мс.В этот период ток должен быть равномерно распределен по поверхности поперечного сечения варисторов во избежание их локального перегрева, который может привести к выходу из строя.Обратите внимание, что TIV на вакуумном прерывателе немного выше, чем напряжение на MOSA из-за некоторой паразитной индуктивности в контуре.Чтобы избежать этой разницы, выключатель постоянного тока должен быть компактным.Для случая, показанного на рис. 5, около 5,3 МДж энергии рассеивается в двух последовательно соединенных модулях MOSA, что приводит к повышению температуры примерно на 72°C.Обратите внимание, что напряжение на MOSA более или менее постоянно, даже несмотря на то, что ток системы (через MOSA) снижается.Это связано с тем, что в момент начала гашения тока конденсатор (КС) выключателя заряжается до того же напряжения, что и напряжение МОП, и остается заряженным в течение всего остального периода гашения тока.Когда напряжение MOSA имеет тенденцию к снижению после уменьшения тока системы, конденсатор немного разряжается в MOSA через LC.Однако этот разряд минимален, поскольку разница напряжений между ними также очень мала.Таким образом, это не влияет на напряжение на конденсаторе.
На рис. 6а показано типичное распределение тока между колонками MOSA, измеренное во время поглощения энергии.Даже если очень тщательно подобрать столбцы, все равно трудно обеспечить равное распределение тока.Критерием соответствия в этом случае, например, является отклонение тока ±3% от эталонного столбца.Видно, что колонка с наименьшим током проводит 68% тока по отношению к колонке с самой высокой проводимостью (см. черную кривую и синюю штриховую кривую на рис. 6а).
Рис. 5: Проходной ток и напряжение на MOSA и TIV на VI при отключении тока экспериментальным выключателем постоянного тока.
Точно так же колонны MOSA нагреваются неравномерно, если не гарантируется равное распределение тока.На рис. 6b показана температура колонки MOSA, измеренная во время поглощения энергии при отключении постоянного тока короткого замыкания.При поглощении энергии около 1 МДж в 12-колонках температура увеличивается примерно на 26,5ºC.Энергия подается последовательно каждые 5-10 минут для исследования работы MOSA при повышенных температурах.Различные уровни энергии (от 70 Дж/см³ до 220 Дж/см3) вводятся при температурах до 200°C.MOSA надежно работает, когда инжекция энергии не превышает 200 Дж/см3.Небольшое отклонение температуры, наблюдаемое на рис. 6b, частично связано с неравным распределением тока и частично с различиями в охлаждении в результате расположения колонны.Также указывается энергия, поглощаемая MOSA при каждом испытании.Чтобы исследовать характеристики MOSA при повышенных температурах, последовательно было проведено несколько испытаний.На рис. 6б показано повышение температуры при каждом отключении тока.
Рис. 6: а) Типичное распределение тока между столбцами MOSA во время подавления тока;
б) Измерение температуры при последовательном поглощении энергии MOSA.
Рис.7а и б показаны тепловые изображения МОПС после поглощения энергии.На рис. 7а показано тепловое изображение после последовательного поглощения энергии модельной компоновкой MOSA.На рис. 7b в качестве примера MOSA с более высоким номинальным напряжением показано влияние типичного неравного распределения тока между колоннами и, следовательно, неравномерного нагрева колонн.Эта MOSA из другого проекта, но включена сюда только для сравнения.На рис. 6б видно, что одна из колонок потребляет больший ток, чем другие, и в результате нагревается до более высоких значений.Это наблюдение при гораздо более низком поглощении энергии, и такой эффект может привести к отказу, если номинальная энергия превышает 200 Дж/см3 и эта энергия подводится.
Рис. 7: а) Тепловое изображение МОСА после последовательного поглощения энергии;
б) Влияние неравного распределения энергии, приводящее к неравномерному нагреву колонн MOSA.
Явления старения MOSA в сетях переменного тока в настоящее время в целом хорошо изучены, и опытные производители знают, как управлять различными параметрами своих конструкций для изменения свойств.Однако нагрузки, испытываемые MOSA, используемым в выключателе постоянного тока высокого напряжения, отличаются, как описано выше, и их основной задачей является поглощение энергии во время процесса отключения тока.Когда выключатель постоянного тока находится во «включенном состоянии», MOSA замыкается накоротко по основному пути тока (VI показан на рис. 1).Это позволяет MOSA деполяризоваться и в нормальных условиях отсутствует ток утечки.После того, как СВ постоянного тока перейдет в «выключенное состояние», МОПА подвергается воздействию импульса с быстрым временем нарастания и длительным временем до половинного значения (эти значения импульса будут рассмотрены ниже).Как правило, выключатель постоянного тока должен работать последовательно с разъединителями, но в течение периода его работы до размыкания разъединителя МОП должен выдерживать постоянное напряжение.
Старение: испытательная установка и испытательный цикл
Для систематического исследования явлений старения МОПС в автоматических выключателях постоянного тока была создана схема испытаний на выносливость для испытаний отдельных MOV (см. рис. 8).Испытательные образцы подвергались воздействию до 15 000 импульсов, а постоянное напряжение прикладывалось в течение короткого времени непосредственно после подачи импульса.Испытательная схема была разработана для выполнения требования к импульсу тока, как описано выше, и эквивалентная схема установки состояла из:
• переключатель S2 – для деполяризации МОВ;
• конденсатор С, резистор R, индуктивность L и переключатель S1 генерируют импульс;
• Источник постоянного тока и переключатель S3 генерируют напряжение постоянного тока после импульсного тока.
Исходные положения переключателя были: S1 разомкнут, S2 замкнут и S3 разомкнут.Во время зарядки C переключатель S2 был замкнут, и MOSA мог деполяризоваться примерно на 60 с.Как только конденсатор был полностью заряжен, переключатель S2 размыкался, а переключатель S1 закрывался, тем самым генерируя желаемый импульс для MOV.Параметры импульса определяются R, L и самим MOV.После импульса S1 открылся, а S2 остался открытым.S3 был закрыт, и MOV подвергался напряжению постоянного тока от источника постоянного тока в течение 2 с.После открытия S3 цикл начинается снова.В течение всего цикла испытаний постоянно контролировались напряжение на конденсаторе и температура MOV, а импульсный ток и напряжение измерялись с помощью осциллографа.Данные осциллографа были переданы в LabVIEW для дальнейших расчетов и контроля на стенде.
Рис. 8: Эквивалентная схема стенда для ресурсных испытаний при комбинированной нагрузке импульсным током и постоянным напряжением.
Напряжение заряда конденсатора, C, а остаточное напряжение MOV определяет количество энергии, вводимой в MOV.значения R, L а характеристики самого MOV определяют время нарастания и время до половинного значения.Испытываемые образцы подвергались воздействию открытого воздуха, и их температура поддерживалась ниже предела 65°C из-за критического значения 75°C, т.е. ниже 75°C гарантируется, что MOV стареет только электрически, а выше 75°C также может иметь место тепловое старение. процессы.Стенд для испытаний на выносливость был способен генерировать два типа импульсов сильного тока.Первые исследования проводились с импульсами 50/1500.Эта форма импульса представляла собой параметры и напряжение MOSA, определенные в этом проекте на основе консультаций с промышленным партнером, а также на основе более раннего исследования.Важными параметрами для импульса были: значения RLC-цепи в коммутационном тракте;остаточное напряжение МОПС по сравнению с напряжением сети;и механизм проведения MOSA.
После тестирования 8 образцов MOV форма импульса была изменена на импульс 20/900.Эта более высокая скорость нарастания и амплитуда тока создает более серьезную нагрузку на MOV с точки зрения электрического старения.Хотя время нарастания было уменьшено с 50 мкс до 20 мкс, а время до половинного значения — с 1500 мкс до 900 мкс, пиковые значения тока увеличились с 730 А до 1330 А.Рис.9 и 10 сравниваются два импульса: синим цветом обозначен импульс 50/1500, а зеленым — импульс 20/900.В таблице 2 приведены параметры этих импульсов.
Из-за экспериментальных ограничений стенда для испытаний на выносливость энергия, запасаемая в конденсаторе С, не могла быть слишком большой, поэтому приходилось использовать образцы малых размеров (т. е. малого объема).Образцы для этой серии испытаний были изготовлены из того же стабильного типа, что и более крупные MOV, а характеристики исследуемых варисторов были следующими:
• Тип: постоянный ток
• Номинальная мощность: 200
• УC = 1 кВ постоянного тока
• яref = 1 мА постоянного тока
• Уref = 1,33 – 1,5 кВ постоянного тока
• У10 кА = 2,25 кВ
• яn = 10 кА
• ч ≈ 6,35 мм
• Д ≈ 70 мм
Таблица 2: Сравнение параметров импульса
Рис. 9: Сравнение импульсов 50/1500 и 20/900, полный импульс.
Рис. 10: Сравнение импульсов 50/1500 и 20/900, время до пика.
Процедура испытания на выносливость
Процедура испытаний на долговечность требует перерывов для промежуточной электрической характеристики MOV.Общая процедура проверки MOV выполняется следующим образом:
• Электрические характеристики новых MOV;
• 5000 импульсов;
• Электрические характеристики после 5000 импульсов;
• 5000 импульсов;
• Электрические характеристики после 10 000 импульсов;
• 5000 импульсов;
• Электрические характеристики после 15 000 импульсов;
• Определение энергии разрушения (разрушающий контроль);
• Процедура завершена.
Характеристика МОВ проводилась для двух областей его ВАХ: области тока утечки;и текущий регион уровня защиты.Область токов утечки измерялась на автоматизированном испытательном стенде постоянного тока.Из-за малого напряжения постоянного тока, подаваемого на MOSA, и небольших величин тока измерения тока утечки проводились при 35°C, чтобы исключить влияние температуры.Ток варьировался от 10 нА до 10 мА.Применяемые ступени напряжения были заранее определены в ходе предыдущих исследований макетов MOV.
Для обеспечения высокой воспроизводимости запись измерения тока начиналась автоматически с задержкой в 10 с после подачи напряжения.Из-за чрезвычайно низких амплитуд измерения испытательный стенд был оборудован эталонным MOV, который служил только для контроля испытательного стенда постоянного тока, без каких-либо других нагрузок.Никаких изменений в эталонных измерениях характеристик MOV не наблюдалось в течение всей продолжительности испытаний.Таким образом, можно сделать вывод, что испытательный стенд постоянного тока дал воспроизводимые результаты без влияния на возможное явление старения.Характеристика в области уровня защиты измерялась с двойной экспонентой
Эта статья является копией из INMR (https://www.inmr.com), не для коммерческого использования, а только для технического обучения и общения.
В электротехнике разъединитель, разъединитель или разъединитель используются для обеспечения полного обесточивания электрической цепи для обслуживания или ремонта.Они используются только для разрыва цепи и часто встречаются в распределительных сетях и подстанциях, где для регулировки или ремонта необходимо отключить источник питания машин.Разъединители могут быть с ручным или моторным приводом и могут быть соединены с заземлителем для заземления части, которая была изолирована от системы, для обеспечения безопасности оборудования и работающего на нем персонала. Высоковольтные разъединители используются на электрических подстанциях для позволяют изолировать аппаратуру, такую как автоматические выключатели, трансформаторы и линии передачи, для обслуживания.Разъединитель обычно не предназначен для нормального управления цепью, а только для защитного отключения.В отличие от выключателей нагрузки и автоматических выключателей, в разъединителях отсутствует механизм гашения электрической дуги, возникающей при электрическом разрыве проводников, по которым текут большие токи.Таким образом, это устройства без нагрузки с очень низкой отключающей способностью, предназначенные для размыкания только после того, как ток был прерван каким-либо другим устройством управления.
Воздушный выключатель представляет собой трехфазный разъединитель с воздушным разрывом, для горизонтальной и вертикальной установки на вершине столба, обычно также называемый выключателем нагрузки, он используется для включения и выключения в распределительной линии 11 кВ-33 кВ. и с возможностью отключения небольшого намагничивания. трансформаторные токи и малые токи на воздушных линиях. подходит для всех типов сетей, особенно требующих частого маневрирования в суровых климатических условиях,нравится солевая влажность, песок, снег, большая высота, промышленное загрязнение, зона с высокой плотностью загрязнения и т. д.в.
Изоляторы широко используются в воздушных линиях электропередач для обеспечения механической поддержки и электрической защиты, а также в распределительных линиях и подстанциях.Силиконовая резина является наиболее широко используемым полимерным изоляционным материалом для изоляторов высокого напряжения. Композитный изолятор марки HAIVO изготовлен из силиконовой резины. В зависимости от напряжения в энергосистемах используются различные виды изоляторов, у нас есть штыревой изолятор, изолятор деформации, подвесной изолятор. Изолятор столба, изолятор длинного стержня, изолятор горизонтального столба, изолятор железной дороги, изолятор скобы, изолятор пребывания.
Изоляторы широко используются в воздушных линиях электропередач для обеспечения механической поддержки и электрической защиты, а также в распределительных линиях и подстанциях.Силиконовая резина является наиболее широко используемым полимерным изоляционным материалом для изоляторов высокого напряжения. Композитный изолятор марки HAIVO изготовлен из силиконовой резины. В зависимости от напряжения в энергосистемах используются различные виды изоляторов, у нас есть штыревой изолятор, изолятор деформации, подвесной изолятор. Изолятор столба, изолятор длинного стержня, изолятор горизонтального столба, изолятор железной дороги, изолятор скобы, изолятор пребывания.
Комплексный технический анализ ограничителей перенапряжения линий электропередачи
Техническая информация: выявление и устранение загрязнений, перекрытий и старения предохранителей
Эволюция интеллектуальных сетей: будущее технологий предохранителей и инновационных разработок
Будущее защиты от перенапряжений: технические инновации и новые тенденции в области молниеотводов
Механизмы старения и стратегии предотвращения выпадающих предохранителей
Электронное письмо:jonsonchai@chinahaivo.com
WeChat: +86 13587716869
WhatsApp: +86 13587716869
Тел: 0086-577-62836929.
0086-577-62836926.
0086-13587716869.
0086-15957720101.
Если у вас есть какие-либо вопросы, вы можете связаться с нами через форму.